티스토리 뷰
요즘 과학자가 아니더라도 다들 한 번을 들어보셨을 양자역학에 대해서 조금 이야기해보려고 합니다.
저도 참 관심이 많은 분야중에 하나인데요, 저는 개인적으로 가장 궁금한 것은 '양자 얽힘 현상'인데요!! 여러분은 어떤 것이 궁금하신가요? 지금부터 보시도록 하겠습니다.
양자역학(Quantum Mechanics)은 20세기 초에 개발된 물리학의 한 분야로, 미세한 입자들(예: 전자, 광자)의 행동을 설명합니다.
고전 물리학으로 설명할 수 없는 현상들을 이해하기 위해 등장한 이 이론은, 현대 물리학과 기술의 많은 발전을 이끌었습니다.
양자역학의 역사
양자역학의 개념은 막스 플랑크(Max Planck)가 1900년에 제안한 양자 가설에서 시작되었습니다.
플랑크는 에너지가 연속적으로 방출되는 것이 아니라, 특정 양(양자)으로 나뉘어 방출된다는 사실을 발견했는데, 이는 빛의 파동 이론을 기반으로 설명할 수 없는 현상을 해결하는 데 큰 도움이 되었습니다.
이어 아인슈타인(Albert Einstein)은 1905년에 광전 효과를 설명하며 양자역학의 기초를 다졌습니다.
그는 빛이 입자(광자)로 이루어져 있고, 특정 에너지를 가진 광자만이 금속 표면에서 전자를 방출할 수 있음을 증명했으며, 이를 통해 에너지가 양자화된다는 사실을 확립하게 되었지만, 그는 죽을 때까지도 양자역학을 인정하지 않았던 일화가 있을 정도로 양자역학을 반대하였습니다.
1920년대에는 닐스 보어(Niels Bohr), 베르너 하이젠베르크(Werner Heisenberg), 에르빈 슈뢰딩거(Erwin Schrödinger) 등 여러 과학자들이 양자역학의 발전에 기여했습니다.
보어는 원자의 구조와 전자의 궤도에 대한 새로운 모델을 제시하였고, 하이젠베르크는 불확정성 원리를 제안, 슈뢰딩거는 파동 방정식을 통해 입자의 행동을 수학적으로 설명하였습니다.
양자역학의 주요 개념
양자역학은 몇 가지 중요한 개념으로 구성됩니다. 이 개념들을 이해하면 양자역학의 핵심 원리를 보다 쉽게 파악할 수 있습니다.
1. 양자화
양자화란 에너지가 연속적이 아니라 이산적(불연속적)으로 존재한다는 개념입니다.
예를 들어, 전자는 특정한 에너지 준위에만 존재할 수 있으며, 이 에너지 준위들 사이에는 중간값이 존재하지 않습니다.
이는 고전 물리학과는 다른 양자역학의 독특한 특징입니다
2. 파동-입자 이중성
양자역학에서 물질과 에너지는 동시에 파동과 입자의 특성을 가집니다.
이 개념은 아인슈타인의 광자 이론과 드브로이(De Broglie)의 물질파 이론을 통해 확립되었습니다.
예를 들어, 빛은 파동처럼 굴절되고 간섭하지만, 입자처럼 충돌하여 에너지를 전달할 수도 있습니다.
3. 불확정성 원리
하이젠베르크가 제안한 불확정성 원리는 입자의 위치와 운동량을 동시에 정확히 측정할 수 없다는 원리입니다.
즉, 위치를 정확히 알면 운동량의 불확정성이 커지고, 반대로 운동량을 정확히 알면 위치의 불확정성이 커집니다.
이는 양자역학의 핵심 원리 중 하나로, 고전 물리학과는 다른 입자들의 행동을 설명합니다.
양자역학의 수학적 기초
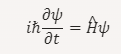
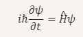
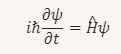
양자역학은 주로 수학적 모델을 통해 이해됩니다. 가장 중요한 도구 중 하나는 슈뢰딩거 방정식입니다. 이 방정식은 입자의 파동 함수를 설명하며, 시간에 따라 입자의 상태가 어떻게 변화하는지를 예측합니다. 슈뢰딩거 방정식은 다음과 같습니다.

이 방정식은 입자의 에너지 준위와 위치를 예측하는 데 사용됩니다.
양자역학의 산업 진출
양자 컴퓨터
양자역학은 컴퓨터 과학에 혁명을 일으키고 있습니다.
양자 컴퓨터(Quantum Computer)는 전통적인 비트(bit) 대신 양자 비트(qubit)를 사용합니다.
양자 비트는 0과 1의 상태를 동시에 가질 수 있는 중첩(superposition) 상태를 이용하여, 전통적인 컴퓨터보다 훨씬 빠른 계산을 가능하게 합니다.
사례: 구글의 양자 우위
구글은 2019년 양자 컴퓨터인 시카모어(Sycamore)를 통해 양자 우위를 달성했다고 발표했습니다.
시카모어는 전통적인 슈퍼컴퓨터로는 10,000년이 걸릴 계산을 단 200초 만에 해결했습니다.
이는 양자 컴퓨터의 잠재력을 보여주는 중요한 사례입니다.
화학 산업
양자역학은 화학 산업에서도 큰 혁신을 가져오고 있습니다.
양자 화학(Quantum Chemistry)을 통해 분자의 구조와 성질을 보다 정확히 예측할 수 있으며, 이는 신약 개발, 새로운 재료 개발 등 다양한 분야에서 활용됩니다.
사례: 신약 개발
양자 화학을 이용한 분자 모델링은 새로운 약물 후보 물질을 발견하고 최적화하는 데 중요한 역할을 합니다.
예를 들어, 특정 질병의 치료에 효과적인 분자를 설계하고, 그 분자의 성질을 시뮬레이션을 통해 예측함으로써 개발 과정을 단축할 수 있습니다.
양자역학의 미래
양자 통신
양자역학의 미래는 양자 통신(Quantum Communication)에서도 큰 잠재력을 가지고 있습니다.
양자 통신은 양자 얽힘(entanglement)을 이용하여 데이터를 전송하는 기술로, 해킹이 불가능한 안전한 통신을 가능하게 합니다.
사례: 양자 암호화
양자 암호화(Quantum Cryptography)는 양자 통신을 이용하여 데이터를 암호화하는 기술입니다.
중국은 2016년 세계 최초의 양자 통신 위성인 미셸(Micius)을 발사하여 양자 암호화 기술을 테스트했습니다.
이는 미래의 안전한 통신 네트워크 구축에 중요한 기여를 할 것으로 기대됩니다.
양자 센서
양자 센서(Quantum Sensor)는 양자역학의 원리를 이용하여 매우 높은 정확도로 측정을 수행하는 기기입니다.
이는 의료, 환경 모니터링, 자원 탐사 등 다양한 분야에서 활용될 수 있습니다.
사례: 의료 진단
양자 센서를 이용한 의료 진단은 매우 높은 정확도로 생체 신호를 측정할 수 있습니다.
예를 들어, 양자 자기 센서를 이용하여 뇌의 활동을 실시간으로 측정함으로써, 뇌 질환의 조기 진단과 치료에 중요한 역할을 할 수 있습니다.
결론
양자역학은 물질과 에너지의 기본적인 행동을 이해하는 데 중요한 역할을 하며, 위 설명한 분야 이외에도 다양한 산업 분야에서 혁신을 이끌고 있습니다.
양자 컴퓨터, 양자 화학, 양자 통신, 양자 센서 등 다양한 응용 분야에서 양자역학의 중요성이 증가하고 있으며, 미래에는 양자역학의 발전을 통해 더 빠르고 효율적인 기술이 개발될 것으로 기대됩니다.
韓 독자 '양자컴퓨터 오류 정정' 기술 개발…"전세계서 가장 앞서"
양자컴퓨터는 0과 1로 정보를 처리하는 디지털 컴퓨터와 달리 여러 값이 중첩된 상태인 정보 단위 큐비트를 사용하는 컴퓨터다. 기존 컴퓨터가 수행할 수 없는 작업을 해낼 것으로 기대돼 주목
www.dongascience.com
'소식이야기' 카테고리의 다른 글
| 딥페이크 기술로 사기를 저지른 범죄 일당 검거 (5) | 2024.10.16 |
|---|---|
| 일자리 격차 해소 특위 (9) | 2024.10.16 |
| 게임이론의 모든 것 (3) | 2024.10.11 |
| 무상 점검 한다더니 7천만원 내라는 벤츠 (ft. 전기차) (1) | 2024.09.30 |
| 정부 반려동물 보유세 검토 (ft. 유기 반려동물 다량 발생 우려) (3) | 2024.09.24 |
